중등수학/중등 3학년
곱셈공식의 변형 연습용 문제 모음
한량 지아이
2021. 3. 4. 22:01
반응형
가장 기본적인 이차 식변형

곱셈공식의 변형 문제 모음
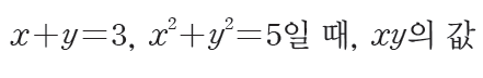
Q1

정답 : (1) 19, (2) 29, (3) 19/5
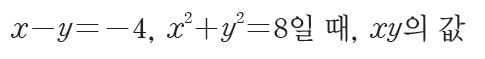
Q2

정답 : 38
Q3

정답 : 30
Q4

정답 : 40
Q5

정답 : 2
Q6

정답 : 10
Q7

정답 : 7
Q8

정답 : 49
Q9

정답 : -4
Q10

정답 : 44
Q11

정답 : 10/3
Q12

정답 : 28
Q13

정답 : 10
Q14

정답 : (1) 11, (2) 9
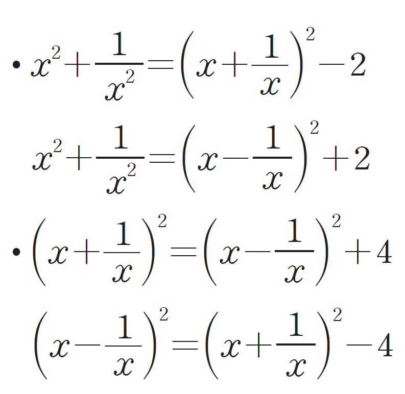
곱셈공식 분수꼴

곱셈공식 분수꼴 문제
Q1

Q2

Q3


Q4

Q5

Q6

Q7

Q8

Q9

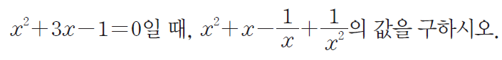
곱셈공식 분수꼴 형태 변형

연습문제
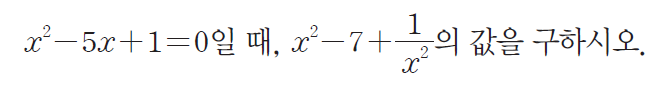
Q1

Q2

Q3

Q4

고1은 삼차까지 나오므로 반드시 미리 숙지하고 가야합니다.
반응형