반응형
등차수열의 일반항을 좀 더 빠르게 구하는 방법을 알아봅시다.
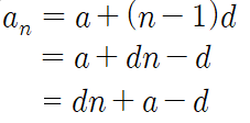
등차수열의 일반항을 잠깐 살펴보죠.

a와 d는 첫째항과 공차로
이미 고정되어 있는 상수입니다.
요 일반항 식에서 변수로 볼 수 있는 문자는 오직 n밖에 없죠.
그래서 준 식을 n을 기준으로 정리해봅시다.

우리가 봐야하는 부분은
일반항이 n에 관한 일차식이며
n앞의 계수가 공차인 d라는 사실입니다.
그래서 등차수열에서 공차를 알면 바로 dn이라고 식을 쓸 수 있는 거죠.
뒷 부분의 a-d는 상수이므로 외워서 쓰기보단,
그냥 n에 적당한 숫자를 넣어서 맞춰주시면 됩니다.
연습해봅시다.
1. 첫째항이 10, 공차가 -3인 등차수열의 일반항
우선 공차가 -3이므로 일반항에 -3n이 들어갑니다.
첫째항이 10이므로 n=1일 때 10이 나오게끔 상수항을 조정해주면 됩니다.

2. 첫째항이 1, 공차가 4인 등차수열의 일반항
공차가 4이므로, 일단 4n이 들어갑니다.
첫항이 1이므로 n=1일 때 1이 나오게 상수를 붙여줍니다.

3. 둘째항이 -7, 공차가 3인 등차수열의 일반항
공차가 3이므로 일단 3n을 써줍니다.
그 다음 둘째항이 -7이므로,
n=2일 때 -7이 나오게 상수를 붙여줍니다.

반응형
'고등수학 (2015 개정 교육과정) > 수학1' 카테고리의 다른 글
| 지수, 로그 - 두 가지 방법으로 푸는 문제 (0) | 2021.03.20 |
|---|---|
| 지수/로그함수 그래프로 대소비교(ㄱㄴㄷ문제) (0) | 2020.11.07 |
| [삼각함수의 활용] 삼각형의 넓이 공식 5가지 (0) | 2020.10.04 |
| [수열] 등차수열의 합으로부터 등차수열의 일반항 빨리 구하는 방법 (0) | 2020.06.28 |
| [지수함수/로그함수] 고난도 역함수 구하는 문제 (0) | 2020.02.21 |